Detailed instructions for creating a website calculator

Hello.

In the last post, we talked about the features of creating a calculator. Today we want to show you how easy it is to make a deposit calculation calculator using the FormDesigner online calculator builder.

If you don't have an account in our form constructor yet, now is the time to register. To create a calculator you need a rate not lower than Gold! After registration, log in to your personal account and open the list of forms:

The main page of your personal account in FormDesigner web forms constructor

Let's create a deposit calculation calculator for the deposit as an example. To do this, click on the button "Create form":

Create a website calculator

Select the form type "Blank template":

Choose a template

After that you will see a pop-up window, where you need to enter the name of our calculator:

Name of calculator

This is the name that will be displayed in the form in the title, if necessary, the title can be hidden in the settings. After you have entered the name of the form, click the button "Create" and you will be redirected to the page "Elements":

Elements of the calculator

This is the page where all the elements of our calculator are created.

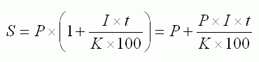
The formula for calculating the deposit looks like this:

Simple interest formula

Where,

S — amount of money due for refund to the depositor at the end of the deposit term. It consists of the initial amount of placed funds, plus accrued interest.
I – annual interest rate
t – number of days of interest calculation on attracted deposit
K – number of days in a calendar year (365 or 366)
P – initial amount of funds attracted to the deposit

Let's assume that we want to open a deposit of 100,000 usd for 6 months with an interest rate of 10.5%. Using the formula, we get the following result:

S = 100000 + 100000 * 10,5 * 180 / 365 / 100 = 105 178,08

Based on this formula, our calculator will contain the following fields

  1. Deposit amount - a field for entering numbers or a slider
  2. Annual interest rate - field for entering figures
  3. Deposit term - drop-down list or switch

Let's create them. To do this, just drag the desired form element from the list on the left to the central area of the constructor. You should do the following:

Adding elements to the calculator

I have specified such values as the deposit period:

  • 1 month
  • 3 months
  • 6 months
  • 12 months

And also made all these fields required

Now we need to add the "Formula" form element to our calculator, where the whole calculation setup will take place. This element can be found in the "Extra" fields:

Adding a formula to the calculator

Let's now move on to editing this element and configure the calculation formula:

Settings of the formula

Here you can change the name of this element, write a prefix or suffix (I have put the suffix "$"), as well as select a number separator, i.e. how the output will be formatted.

After that we proceed to the most important thing - setting the formula for calculating our calculator. To do this, click on the "Formula settings" button, and then such a window will open in front of you:

Setting up the calculation formula

Following our formula, we need to add these values to the formula:

amount deposit + amount deposit * annual interest rate * deposit term / 365 / 100

To add a form element to a formula, click the "Add element" button as shown in the picture above. That's how it worked for me:

Deposit term

For compactness of the formula, the names of the elements are not displayed, but instead their ordinal number is displayed. However, if you move the cursor over the field, the name shall be displayed. I want to draw your attention to the field #3, which is the deposit term. Since it is presented in the form of a list and you have different options, we need to specify the required number of days for each option. To do this, click on the icon "gears", and then a window will open before us, where you can prescribe values for each answer choice:

For simplicity of calculation, I have specified such values:

  • 1 month – 30 days
  • 3 months – 90 days
  • 6 months – 182 days
  • 12 months – 365 days

Once you have entered the values, click the "Save" button and you will be taken back to the formula editing window. This is where you may consider our formula setting finished. Don't forget to click the "Save" button again in the formula editing window.

Now if you open the form, you will see how the calculation works:

Calculator of deposit calculation

If necessary, you can make the deposit amount as a slider and limit the minimum and maximum deposit amount:

Calculator of deposit calculation

There are no restrictions as to who likes it better!

As for the rest of the form settings, we recommend that you read the material below.

Today we have considered the simplest version of the calculator for the site. If you need more complex calculations that depend on different parameters, you can use logical expressions in the formula. To do this, click on the icon as shown below:

Adding a condition to the calculation formula

After that a logical condition will be added to the formula:

Add condition

To set it up, click on the "pinions" icon, and then you will see the next window:

Adding an expression to the condition

In order to add a logical expression, you should click on the "Add expression" button:

Adjustment of logical expressions in the condition

Thus it is possible to set up various logical expressions, as a result of which, in the formula, instead of a condition, will be substituted number of that logical expression, which will be correct. In our example, I have set that if the deposit amount is less than 50,000 USD, then the value of 0.95 will be returned to the formula. Thus, we reduce the total amount by 5%.

This functionality opens up a lot of possibilities for creating calculators of different complexity.

If you still have questions, please leave them in the comments below!

Have a good day!

Comments
Ready-made templates of web forms
Gold

Complete the survey and get a selection of apartments in new housing in the city

Apartments in new buildings, on the secondary market, townhouses, Pass the survey and get a selection of apartments in new housing in the city, as well as in the secondary market. Details
Basic

Brand Awareness Research Template

This template will help to find out the level of customer awareness of your brand Details
Basic

Shopping place rent

Answer the questions and get a price for a suitable rent Details
Platinum

Selection of auto parts

Template in the form of a request, where the user can select a car brand, year of manufacture, specify data from the technical data sheet, contact details. You can edit the template to suit your needs. Details

Order turnkey form development

No time to figure out all the settings yourself? No problem!
Order web form development from us